Abstract
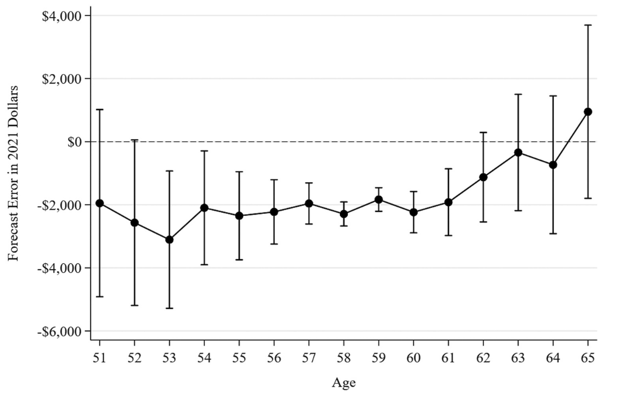
How accurate are older people’s expectations about their future Social Security benefits? Using panel data from the Health and Retirement Study, we compare respondents’ observed Social Security claiming ages and benefits with subjective expectations provided during their 50s and early 60s. We find that, while older adults generally have accurate expectations about their claiming age, they underestimate their annual Social Security income by approximately $1,896 (11.5 percent) on average. However, both accuracy and precision increase with age, and the forecast error for people in their early 60s is not statistically different from zero. Exploiting plausibly exogenous variation in the mailing of Social Security statements, which contain personalized information about future benefits, we show that information provision reduces the forecast error in annual income by $344 (2.1 percent of the average benefit).
JEL Classification
- E21 Macroeconomics: Consumption; Saving; Wealth
- H55 Social Security and Public Pensions
- J14 Economics of the Elderly; Economics of the Handicapped; Non-Labor Market Discrimination
- J26 Retirement; Retirement Policies
Key Figures
Citation
@article{SeiterSlavov:2025,
title = {Do Older Adults Accurately Forecast Their Social Security Benefits?},
author = {Seiter, Grant M. and Slavov, Sita Nataraj},
year = {2025},
journal = {Applied Economics Letters},
volume = {32},
number = {2},
pages = {183--187},
doi = {10.1080/13504851.2023.2259593}
}

